All space is space in which to create.
Eric MaiselI discovered an invisible empire of the air.
Lee de Forest
Think about a sheet of paper and you might think first of its material components: fibers, fillers, sizing and dye for example. However, paper is structurally so much more than fiber – paper is made up of air. Some of this air is present inside the fibers and converting materials themselves, but most of the air exists inside the pore structure of the sheet, a result of papermaking and converting processes. Bulkier sheets can have air volumes as high as 70% while denser sheets (like glassine) can be as low as 15%. The ratio of pore volume to total volume of the sheet is called the porosity of the sheet, which influences things like compressibility and the ability of paper to absorb fluids like ink, oils, and water.[i]
There are direct laboratory methods to determine pore size and distribution but porosity can also be indirectly evaluated by testing air permeability, the property of a paper that allows air to flow through it under a pressure difference across a sheet. It’s important to note here that porosity and air permeability are not the same thing. To help understand this, let’s visualize the paper sheet in 3D:
4.7 Microstructure of Dry Paper © Rune Holmstad [ii]
You can see how the pore structure consists of 1) voids, or air spaces, which extend from the paper’s surface down into its interior; 2) interfiber air spaces among the fibers; and 3) pores, or channels , which extend completely through the paper’s thickness.[iii]
A sheet with many small pores could have the same porosity as a sheet with fewer larger pores (same pore volume to total volume ratio) yet exhibit very different air permeability values based on how long it takes air to get through the pore structure. Click on the flash animation below to see how porosity affects permeability.
Air permeability is a property of material and independent of the thickness of the sheet. Air permeance is air permeability per unit thickness – it describes the permeability over the length of the flow path. One way we can determine air permeability in paper is by measuring the permeation time for a given volume of air to pass across a constant area of the sheet under a specified pressure gradient. Another is to measure the volume of permeating air in a given period of time across a constant area of the sheet under a specified pressure gradient.

Portrait of Henry Darcy by F.Perrodin, from the Collection of the Bibliothéque Municipale de Dijon
We can understand permeability better with the help of Frenchman and water researcher Henry Philibert Gaspard Darcy. In 1857, a year before his death from pneumonia at the age of 55, Henry presented the world with Darcy’s Law. It was originally published as a descriptive relationship for the flow rate of water in sand filters and is a constitutive equation, a relationship between physical quantities specific to a material and the response of that material to external stimuli.
Darcy’s Law in particular describes rate of flow through porous media and states that the volume flow rate per unit area is proportional to the pressure gradient of the flow.
1) The same fluids will exhibit different flow rates through different porous materials.
2) The fluid or gas flows from high to low pressure (across the pressure drop)
3) The greater the pressure gradient, the greater the flow rate through the same material.
4) Where no pressure gradient exists, there will be no flow.
![Column apparatus [Darcy, 1856, Figure 3, Plate 24]](https://thefiberwire.com/wp-content/uploads/2016/04/column-apparatus-darcy-1856-figure-3-plate-24.jpg?w=387&h=588)
Column apparatus [Darcy, 1856, Figure 3, Plate 24]
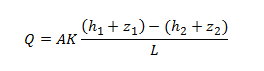
Darcy’s law was originally given as:
Where:
A = area of porous media normal to the flow
K = hydraulic conductivity
h = pressure head (pressure divided by the
specific weight)
z = elevation
l = length of the flow path
subscripts 1 and 2 = designation of upstream and downstream, respectively[iv]
The law as applied to water and sand can also apply to air and paper. Permeability is the paper property that allows air or liquid to flow through it under a pressure difference across a sheet. Darcy’s Law applied to air permeability is given as:
where
Q = volume flow rate
A = area of porous media normal to the flow
K = the permeability constant, which depends on both the porous properties of the sheet and the nature of the gas
In Darcy’s equation, L is the length of the flow path. When applying Darcy’s equation to permeability in paper, L is the thickness of the sheet. ΔP is the total pressure drop across the thickness of the sheet.
See the [endnote] for a coefficient that separates liquid viscosity
Why is air permeability worth evaluating? Like other paper properties, it is an indicator of end use performance. Filters and absorbent tissues and towels need high air permeability. Greaseproof papers and many packaging and barrier papers need to have low air permeability. As mentioned before, air permeability can be used to estimate how printing inks will penetrate and spread. Specialty needs are addressed by carefully controlled permeability, like in cigarette papers that need a uniform burning rate.

Cross section of a page from the Chicago telephone directory showing how far ink penetrates into the paper. Magnification 830x. ©Arnold Grummer (www.arnoldgrummer.com)
Change in the processes and components of papermaking can be used to alter the porosity, permeability and permeance of the sheet. Increased moisture content, refining, pressing, surface size, calendaring, basis weight, and fillers like titanium dioxide will decrease air permeability. An increase in long fiber to short fiber ratio will increase air permeability. [v] Consider the three P’s in your next paper project- whether it’s in using or manipulating commercially available paper or if it’s in designing the paper yourself!
[endnote]: Another permeability coefficient, Kv , can be defined by separating the liquid viscosity, η, from K, which leaves Kv as the specific permeability defined by the structure of the porous medium alone:
Sources
(The first three are excellent books for your reference library!)
[i] Bureau, W. H. What the printer should know about paper. Graphic Arts Technical Foundation: Pittsburgh, 1989.
[ii] Banik, Gerhard, Irene Brueckle, and Vincent Daniels. Paper and Water: A guide for Conservators. London: Routledge, 2012.
[iii] Scott, W. E., Abbott, J. C., & S. Trosset. Properties of paper : an introduction. TAPPI Press: Atlanta, 1995.
[iv] Brown, G. O. “Henry Darcy and the Making of a Law.” Water Resources Research 38.7 (2002): 11-1-11-12. Web. 5 Apr. 2016.
[v] Bujanovic, B. “PSE 465/665 Paper Properties Fall 2014 Lecture Slides”. State University of New York College of Environmental Science and Forestry: Syracuse, 2014.
An amazing and accessible explanantion of absorbency factors for paper. Love the graphics. Useful visuals for paper enthusiasts to science teachers to anyone going beyond a casual interest in science. Thank you, Genevieve!
LikeLiked by 2 people
Thank you for the feedback, Kim. I’m glad that you found the post useful and approachable. The Arnold Grummer images will always be among my favorites. They are about to be hung in my office – matter of fact!
LikeLike
Excelente article is very easy to understand the concept of permeability and know how is related with porosity and when you relate the permeability to the area it results in permeance.
LikeLiked by 1 person